HOME

Course Chapters

Mathematics Review

Basic Concepts

Advanced Concepts


Section Tests

Pre-test

Post-test


Useful Materials

Glossary

Links

Texas Instruments Calculators

Casio Calculators

Sharp Calculators

Hewlett Packard Calculators

Calculators

Units Conversion Lookup

Nomenclature

Redox

Kinetics

Thermo

Nuclear

Linear Least Squares Regression

Newton's Method Equation Solver

Gas Laws


Credits

Contact Webmaster


Simple Statistics

There are a wide variety of useful statistical tools that you will encounter in your chemical studies, and we wish to introduce some of them to you here. Many of the more advanced calculators have excellent statistical capabilities built into them, but the statistics we'll do here requires only basic calculator competence and capabilities.

Arithmetic Mean, Error, Percent Error, and Percent Deviation

The statistical tools you'll either love or hate! These are the calculations that most chemistry professors use to determine your grade in lab experiments, specifically percent error. Of all of the terms below, you are probably most familiar with "arithmetic mean", otherwise known as an "average".
  • Mean -- add all of the values and divide by the total number of data points
  • Error -- subtract the theoretical value (usually the number the professor has as the target value) from your experimental data point.
  • Percent error -- take the absolute value of the error divided by the theoretical value, then multiply by 100.
  • Deviation -- subtract the mean from the experimental data point
  • Percent deviation -- divide the deviation by the mean, then multiply by 100:

A sample problem should make this all clear: in the lab, the boiling point of a liquid, which has a theoretical value of 54.0° C, was measured by a student four (4) times. Determine, for each measurement, the error, percent error, deviation, and percent deviation.

Observed value Error Percent error Deviation Percent deviation
54.9 0.9 2.0% 0.5 0.9%
54.4 0.4 0.7% 0.0 0.0%
54.1 0.1 0.2% -0.3 -0.6%
54.2 0.2 0.4% -0.2 -0.4%

We show the calculations for the first data point as an example:

Standard deviation

Standard deviation is a particularly useful tool, perhaps not one that the professor necessarily will require you to calculate, but one that is useful to you in helping you judge the "spread-outness" of your data. Typically, you hope that your measurements are all pretty close together. The graph below is a generic plot of the standard deviation.

One standard deviation (sometimes expressed as "one sigma") away from the mean in either direction on the horizontal axis (the red area on the above graph) accounts for somewhere around 68 percent of the data points. Two standard deviations, or two sigmas, away from the mean (the red and green areas) account for roughly 95 percent of the data points. Three (3) standard deviations (the red, green and blue areas) account for about 99 percent of the data points.

If this curve were flatter and more spread out, the standard deviation would have to be larger in order to account for those 68 percent or so of the points. That's why the standard deviation can tell you how spread out the examples in a set are from the mean.

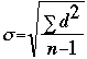
How do you calculate the standard deviation? It's not too difficult, but it IS tedious, unless you have a calculator that handles statistics. The formula for the standard deviation is as follows:

Basically, what this says is as follows:

  1. Find the deviation "d" for each data point
  2. Square the value of d (d times itself)
  3. Sum (add up) all of the squares
  4. Divide the sum by the number of data points (n) minus 1
  5. Take the square root of that value

If you have a statistics-capable calculator, this is really easy to do, since there is a button (usually labeled "SD") that allows you to do this. We, however, don't have a stats calculator (well, we do, but we're pretending!), so we have to do it the hard way.

In this example, the student has measured the percentage of chlorine (Cl) in an experiment a total of five times. The arithmetic mean is calculated to be 19.71. The student wants to find out the standard deviation for the data set, with particular interest in the range of values from one sigma below the mean to one sigma above the mean:

Trial 1 2 3 4 5
Percentage of Cl 19.82 19.57 19.68 19.71 19.75
d 0.11 -0.14 -0.03 0.00 0.04
d2 0.0121 0.0196 0.0009 0.0000 0.0016

Adding up all of the d2= 0.0342
Dividing 0.0342 by 4 (or 5-1) = 0.0086
Taking the square root of 0.0086= 0.09

This means that the standard deviation for this problem is 0.09, and that if we keep doing the experiment, most (68% or so) of the data points should be between 19.62 (19.71 - 0.09) and 19.80 (19.71+0.09). The lower the standard deviation, the better (in this case) the measurements are.

Check out the Statistics Calculator Interactive Tool.

Try It Out

  1. A student analyzing a sample for bromine (Br) makes four trials with the following results: 36.0, 36.3, 35.8, and 36.3. The theoretical value is 36.2.

    Calculate:

    1. the arithmetic mean
    2. the percent error for each trial
    3. the deviation and percent deviation for each trial
    4. the standard deviation

    Check your work.


[Numbers and their Properties] [Numbers in Science] [Ratios and Proportions]
[Units, Dimensions, and Conversions] [Percents] [Simple Statistics] [Logarithms]


Developed by
The Shodor Education Foundation, Inc.
in cooperation with the Department of Chemistry,
The University of North Carolina at Chapel Hill

Copyright © 1998
Last Update:
Please direct questions and comments about this page to
WebMaster@shodor.org